点击【蓝字】 关注我们
《南宁市2024~2025学年度秋季学期期末教学质量调研
高二年级数学试卷》










































高中数学人教版2019年A版
人民教育出版社2019年A版
教材使用:人民教育出版社2019年A版
主编:张建跃 李增沪
普通高中数学教科书分为:
必修课程141课时、选择性必修课程108课时
必修课程:
两本教材:必修第一册、必修第二册;
五个主题:预备知识、函数、几何与代数、概率与统计、数学建模活动与数学探究活动.
选择性必修课程:
三本教材:选择性必修第一册、选择性必修第二册、选择性必修第三册;
四个主题:函数、几何与代数、概率与统计、数学建模活动与数学探究活动.
共学五本教材:两本必修、三本选择性必修
①必修第一册
②必修第二册
③选择性必修第一册
④选择性必修第二册
⑤选择性必修第三册

第一章:集合与常用逻辑用语(10课时)
1.1集合的概念
1.2集合间的基本关系
1.3集合的基本运算
1.4充分条件与必要条件
1.5全称量词和存在量词
第二章:一元二次函数、方程和不等式(8 课时)
2.1等式性质与不等式性质
2.2基本不等式
2.3二次函数与一元二次方程、不等式
第三章:函数的概念与性质(12课时)
3.1函数的概念及其表示
3.2函数的基本性质
3.3幂函数
3.4函数的应用(一)
第四章:指数函数与对数函数(16课时)
4.1指数
4.2指数函数
4.3对数
4.4对数函数
4.5函数的应用(二)
第五章:三角函数 (23课时)
5.1任意角和弧度制
5.2三角函数的概念
5.3诱导公式
5.4三角函数的图象和性质
5.5三角恒等变换
5.6函数y=Asin(wx+ψ)
5.7三角函数的应用
数学建模(3课时)

第六章:平面向量及其应用(18 课时)
6.1平面向量的概念
6.2平面向量的运算
6.3平面向量基本定理及坐标表示
6.4平面向量的应用
数学探究:用向量法研究三角形的性质(2课时)
第七章:复数(8课时)
7.1复数的概念
7.2复数的四则运算
7.3*复数的三角表示
第八章:立体几何初步(19课时)
8.1基本立体图形
8.2立体图形的直观图
8.3简单几何体的表面积与体积
8.4室间点、直线、平面的位置关系
8.5空间直线、平面的平行
8.6空间直线、平面的垂直
第九章:统计(13课时)
9.1随机抽样
9.2用样本估计总体
9.3统计案例
第十章:概率(9课时)
10.1随机事件与概率
10.2事件的相互独立性
10.3频率与概率

第一章:空间向量与立体几何 (15课时)
1.1空间向量及其运算
1.2空间向量基本定理
1.3空间向量及其运算的坐标表示
14空间向量的应用
第二章:直线和圆的方程(16 课时)
2.1直线的倾斜角与斜率
2.2直线的方程
2.3直线的交点坐标与距离公式
2.4圆的方程
2.5直线与圆、圆与圆的位置关系
第三章:圆锥曲线的方程(12课时)
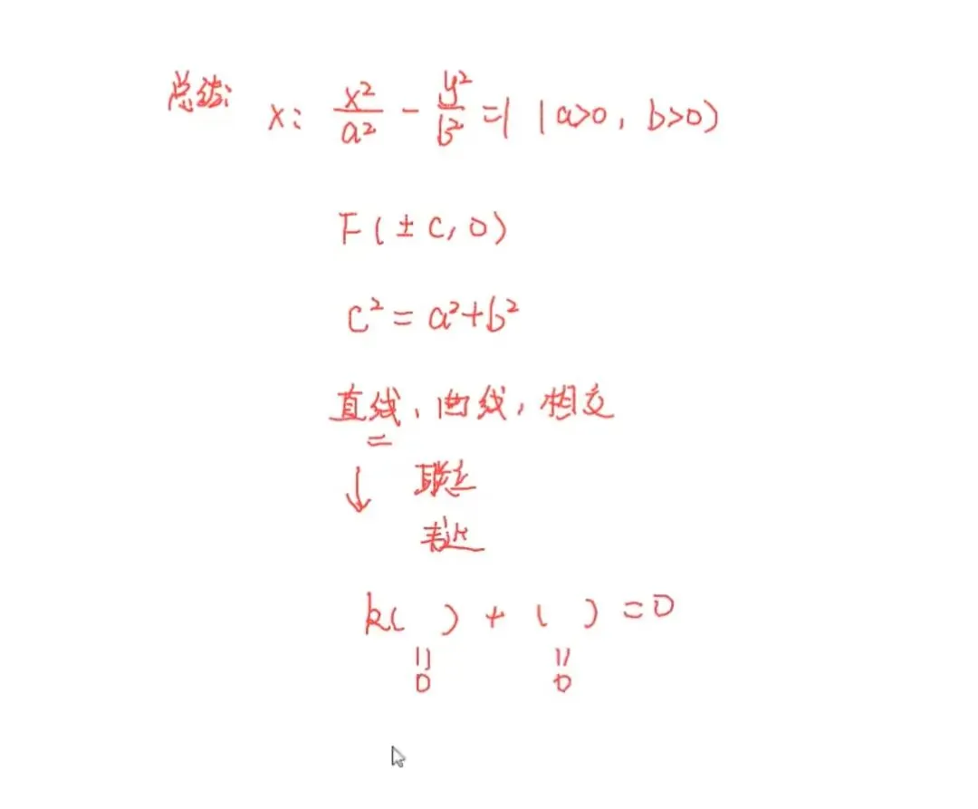
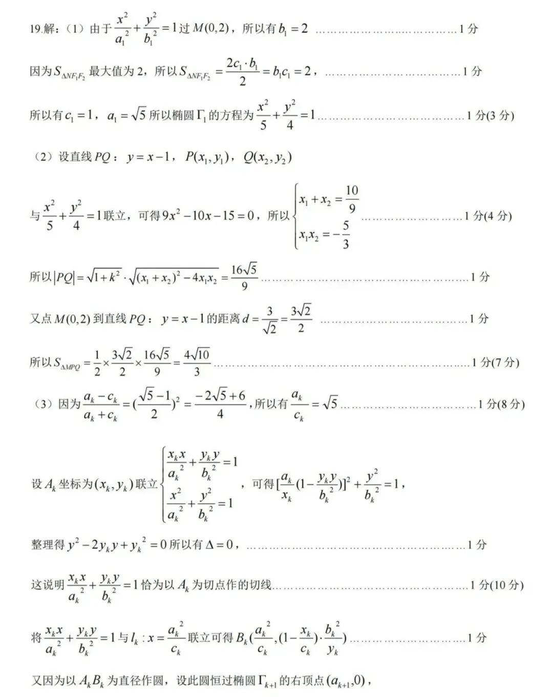
3.1椭圆
3.2双曲线
3.3抛物线

第四章:数列(14 课时)
4.1数列的概念
4.2等差数列
4.3等比数列
4.4*数学归纳法
第五章:一元函数的导数及其应用(16 课时)
5.1导数的概念及其意义
5.2导数的运算
5.3导数在研究函数中的应用

第六章:计数原理(13课时)
6.1分类加法计数原理和分步乘法计数原理
6.2排列与组合
6.3二项式定理
第七章:随机变量及其分布(12 课时)
7.1条件概率与全概率公式
7.2离散型随机变量及其分布
7.3离散型随机变量的数字特征
7.4二项分布与超几何分布
7.5正态分布
第八章:成对数据的统计分析(10 课时)
8.1成对数据的统计相关性
8.2一元线性回归模型及其应用
8.3列联表与独立性检验
人教2019A版必修
由于公众号没有数学编辑器,文章中的数学符号仅供参考.


点个【 在看 】,你最好看